Multiple Choice Identify the
choice that best completes the statement or answers the question.
|
|
|
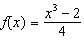
1.
|
Find the Inverse of  .
|
|
|
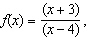
2.
|
Find the Inverse of 
|
|
|
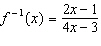
3.
|
Find the Inverse of  where 
|
|
|
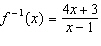
4.
|
Find the Inverse of
a. |  | b. |  | c. |  | d. | Inverse is not a function |
|
|
|
5.
|
If f(x) and g(x) are inverses, why is f(g(x)) = x ?
a. | Because any value of x will make both equations true.
| b. | Because f(x)and g(x) have corresponding operations that are inverses of each other,
which cancels each operation out. | c. | Because any value of x will
result in reciprocals. | d. | Because they are both symmetric about the line
x-axis. |
|
|
|
6.
|
The functions f(x) and g(x) are inverses.
f(x) involves the following
operations in the following order: • Divide by
2
• Add
5
Which operations must be part of g(x)?
a. | • Subtract
5
• Multiply by 2
| b. | • Multiply
by –
2
• Add –5
| c. | •
Subtract –5 • Multiply by
2
| d. | • Add –5 • Multiply by
–2
|
|
|
|
7.
|
Which of the following Graphs could represent both a function and its inverse graphed on the same coordinate grid?
|
|
|
8.
|
Which graph below is the inverse of  ?
|